Matemáticas para Bachillerato y Carreras de Ciencias
  Mi cuenta
  • Inicio
  • Videos
  • Test
  • Libros
  • Fonemato
  • Blog
  • La tienda de libros de Fonemato
Libros » Estadística Matemática II. Inferencia Estadística » 2.06. Muestreo de población normal » Ejercicio 2.06.13

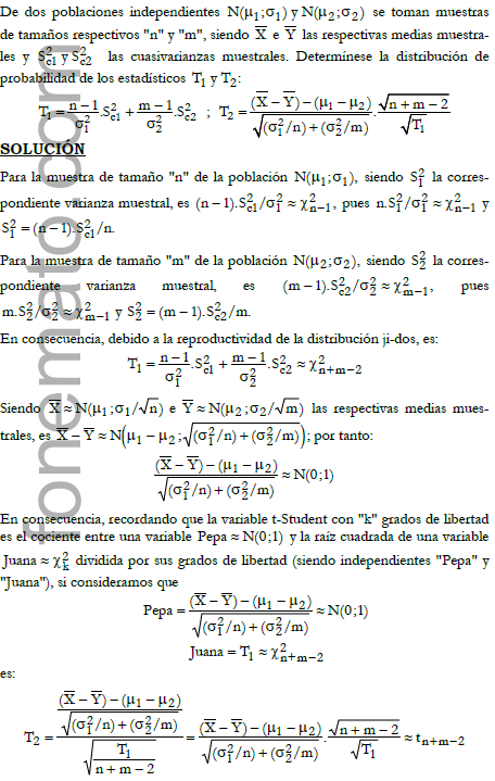
Ejercicio 2.06.13

« Ejercicio anterior
Volver al epígrafe
Ejercicio siguiente »

Ayuda

Cómo comprar los vídeos de matemáticas
Cómo comprar los libros
Contacto

Información legal

Aviso legal
Política de privacidad
Política de cookies

© 2012 - 2026 La Pizarra de Fonemato