Vídeos » Universidad » Cálculo Integral » 01 Cálculo de primitivas

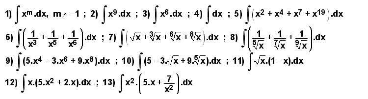
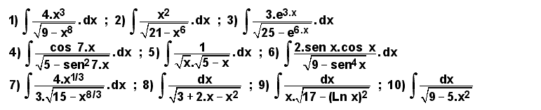
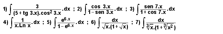
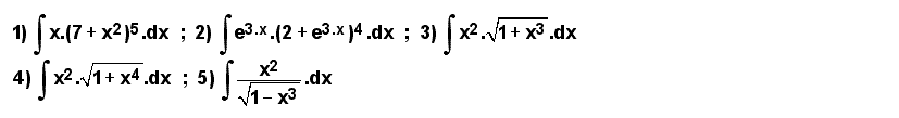
Cálculo de primitivas

75 vídeos en este tema

Duración total: 7:49:23

Nuestro libro de Introducción al Cálculo Integral

Introducción al Cálculo Integral

Puedes echar un vistazo al libro "Introducción al Cálculo Integral" »

Haz click aquí si estas interesado en comprar el libro "Cálculo Integral (PAPEL)" »

Este sitio web utiliza cookies para su funcionamiento. Al continuar con la navegación estás aceptando su uso.

Aceptar    Más información